REVIEW PAPER
Sarcoma in patients with systemic lupus erythematosus. A systematic review.
More details
Hide details
1
Department of Occupational, Metabolic and Internal Diseases, Faculty of Health Sciences with the Institute of Maritime and Tropical Medicine, Medical University of Gdansk, Poland
2
Department of Oncological Surgery, Faculty of Health Sciences with the Institute of Maritime and Tropical Medicine, Medical University of Gdansk, Poland
3
Department of Otolaryngology and Maxillofacial Surgery, St. Vincent De Paul Hospital, Pomeranian Hospitals, Gdynia, Poland
These authors had equal contribution to this work
Submission date: 2025-05-12
Final revision date: 2025-06-26
Acceptance date: 2025-08-11
Online publication date: 2025-11-18
Corresponding author
Wojciech Wołyniec
Department of Occupational, Metabolic and Internal Diseases, Faculty of Health Sciences with the Institute of Maritime and Tropical Medicine, Medical University of Gdansk, 9b Powstania Styczniowego St., 81-519 Gdynia, Poland
KEYWORDS
TOPICS
ABSTRACT
The risk of neoplasm is elevated in patients with various autoimmune diseases. Although the overall risk of cancer in systemic lupus erythematosus (SLE) patients is slightly elevated, the standardized incidence ratio of several cancers is above 3.0. The main risk factor for neoplasm in this group is dysfunction of the immune system caused by the disease and by immunosuppressive drugs. The most common cancers in patients with SLE are related to viral latent infections caused by human herpesvirus 8, Epstein-Barr virus, and human papillomavirus. The risk of sarcoma has not been established in large cohort studies, but several case reports have been published. It remains uncertain whether there is a direct relationship between sarcoma and SLE.
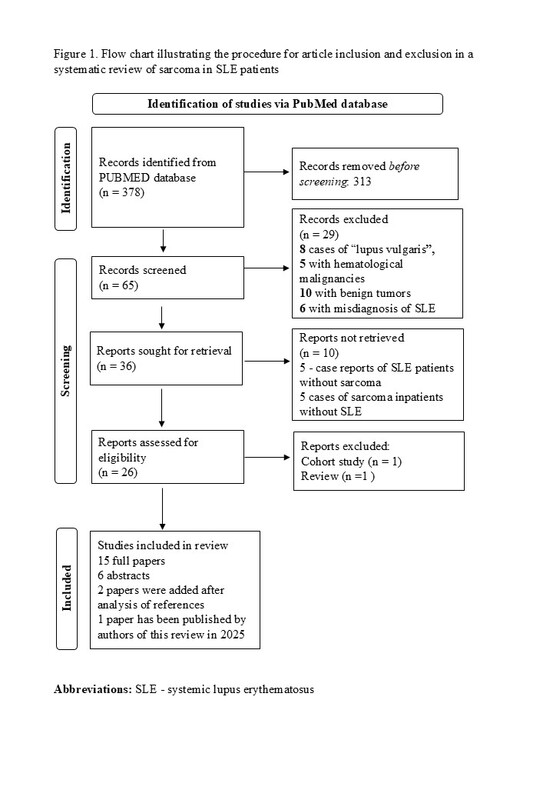
We performed a systematic review of case reports and case series and analyzed the detailed data of 26 SLE patients with sarcoma. The most common sarcomas were Kaposi’s sarcoma and leiomyosarcoma – 2 neoplasms that are potentially related to viral infection.
REFERENCES (48)
1.
Bernatsky S, Ramsey-Goldman R, Urowitz MB, et al. Cancer Risk in a Large Inception Systemic Lupus Erythematosus Cohort: Effects of Demographic Characteristics, Smoking, and Medications. Arthritis Care Res (Hoboken) 2021; 73: 1789–1795, DOI: 10.1002/acr.24425.
2.
Bernatsky S, Boivin JF, Joseph L, et al. An international cohort study of cancer in systemic lupus erythematosus. Arthritis Rheum 2005; 52: 1481–1490, DOI: 10.1002/art.21029.
3.
Pettersson T, Pukkala E, Teppo L, Friman C. Increased risk of cancer in patients with systemic lupus erythematosus. Ann Rheum Dis 1992; 51: 437–439, DOI: 10.1136/ard.51.4.437.
4.
Ramsey-Goldman R, Brar A, Richardson C, et al. Standardised incidence ratios (SIRs) for cancer after renal transplant in systemic lupus erythematosus (SLE) and non-SLE recipients. Lupus Sci Med 2016; 3: e000156, DOI: 10.1136/lupus-2016-000156.
5.
Rapier-Sharman N, Kim S, Mudrow M, et al. Comparison of B-Cell Lupus and Lymphoma Using a Novel Immune Imbalance Transcriptomics Algorithm Reveals Potential Therapeutic Targets. Genes (Basel) 2024; 15: 1215, DOI: 10.3390/genes-15091215.
6.
Egiziano G, Bernatsky S, Shah AA. Cancer and autoimmunity: Harnessing longitudinal cohorts to probe the link. Best Pract Res Clin Rheumatol 2016; 30: 53–62, DOI: 10.1016/j.berh.2016.03.001.
7.
Cabral DA, Tucker LB. Malignancies in children who initially present with rheumatic complaints. J Pediatr 1999; 134: 53–57, DOI: 10.1016/s0022-3476(99)70372-0.
8.
Donghi D, Kerl K, Dummer R, et al. Cutaneous angiosarcoma: own experience over 13 years. Clinical features, disease course and immunohistochemical profile. J Eur Acad Dermatol Venereol 2010; 24: 1230–1234, DOI: 10.1111/j.1468-3083.2010.03624.x.
9.
Goobie GC, Bernatsky S, Ramsey-Goldman R, Clarke AE. Malignancies in systemic lupus erythematosus: a 2015 update. Curr Opin Rheumatol 2015; 27: 454–460, DOI: 10.1097/BOR.0000000000000202.
10.
Thrasher JB, Miller GJ, Wettlaufer JN. Bladder leiomyosarcoma following cyclophosphamide therapy for lupus nephritis. J Urol 1990; 143: 119–121, DOI: 10.1016/s0022-5347(17)39886-5.
11.
Bernatsky S, Ramsey-Goldman R, Labrecque J, et al. Cancer risk in systemic lupus: an updated international multi-centre cohort study. J Autoimmun 2013; 42: 130–135, DOI: 10.1016/j.jaut.2012.12.009.
12.
Tallbacka KR, Pettersson T, Pukkala E. Increased incidence of cancer in systemic lupus erythematosus: a Finnish cohort study with more than 25 years of follow-up. Scand J Rheumatol 2018; 47: 461–464, DOI: 10.1080/03009742.2017.1384054.
13.
Bernatsky S, Boivin JF, Joseph L, et al. Race/ethnicity and cancer occurrence in systemic lupus erythematosus. Arthritis Rheum 2005; 53: 781–784, DOI: 10.1002/art.21458.
14.
Parikh-Patel A, White RH, Allen M, Cress R. Cancer risk in a cohort of patients with systemic lupus erythematosus (SLE) in California. Cancer Causes Control 2008; 19: 887–894, DOI: 10.1007/s10552-008-9151-8.
15.
Dreyer L, Faurschou M, Mogensen M, Jacobsen S. High incidence of potentially virus-induced malignancies in systemic lupus erythematosus: a long-term follow up study in a Danish cohort. Arthritis Rheum 2011; 63: 3032–3037, DOI: 10.1002/art.30483.
16.
Louthrenoo W, Kasitanon N, Mahanuphab P, et al. Kaposi’s sarcoma in rheumatic diseases. Semin Arthritis Rheum 2003; 32: 326–333, DOI: 10.1053/sarh.2002.50000.
17.
Klein MB, Pereira FA, Kantor I. Kaposi Sarcoma complicating systemic lupus erythematosus treated with immunosuppression. Arch Dermatol 1974; 110: 602–604.
18.
Nikravan K, Bejjani BB, Edson M. Bilateral retroperitoneal liposarcoma in immunosuppressed patient with systemic lupus erythematosus. Urology 1983; 22: 64–66, DOI: 10.1016/0090-4295(83)90351-5.
19.
Wicks IP, Fleming A. Chondrosarcoma of the calcaneum and massive soft tissue calcification in a patient with hereditary and acquired connective tissue diseases. Ann Rheum Dis 1987; 46: 346–348, DOI: 10.1136/ard.46.4.346.
20.
el Maghraoui A, Sekkach Y, Qacif H, et al. Iatrogenic Kaposi’s sarcoma following immunosuppressive therapy for systemic lupus erythematosus. Clin Exp Rheumatol 2003; 21: 674.
21.
Rossi G, Lucioni M, Sammarchi L, et al. Uncommon syndromes and treatment manifestations of malignancy: Case 1. Unusual association of lupus and sarcoma. J Clin Oncol 2003; 21: 166–167, DOI: 10.1200/JCO.2003.21.1.166.
22.
Chan AC, Li CS, Cheuk W, et al. Epstein-Barr virus associated leiomyosarcoma in a patient with systemic lupus erythematosus. Pathology 2007; 39: 358–361, DOI: 10.1080/00313020701329864.
23.
Hoene KA, Kaufman MR, Cates JM, Chang SS. Inflammatory myofibroblastic tumor of the urinary bladder in a 27-year-old woman with systemic lupus erythematosus. Int J Urol 2008; 15: 182–184, DOI: 10.1111/j.1442-2042.2007.01967.x.
24.
De la Pena J, Wapnir I. Leiomyosarcoma of the breast in a patient with a 10-year-history of cyclophosphamide exposure: a case report. Cases J 2008; 1: 301, DOI: 10.1186/1757-1626-1-301.
25.
Baydar DE, Himmetoglu C, Yazici S, et al. Primary osteosarcoma of the urinary bladder following cyclophosphamide therapy for systemic lupus erythematosus: a case report. J Med Case Rep 2009; 3: 39, DOI: 10.1186/1752-1947-3-39.
26.
Rocha Oliveira PC, Martins BJ. Clinical images: infarct-associated bone sarcoma in the clinical context of systemic lupus erythematosus. Arthritis Rheum 2012; 64: 593, DOI: 10.1002/art.33421.
27.
Jia C, Zhao W, Dai C, et al. Undifferentiated embryonal sarcoma of the liver in a middle-aged adult with systemic lupus erythematosus. World J Surg Oncol 2013; 11: 244, DOI: 10.1186/1477-7819-11-244.
28.
Chen KH, Chen TD, Chen CW, Lee LY. Iatrogenic Kaposi’s sarcoma in nasal cavity: a case report. World J Surg Oncol 2014; 12: 172, DOI: 10.1186/1477-7819-12-172.
29.
Khan IN, Adlan MA, Stechman MJ, Premawardhana LD. A Retroperitoneal Leiomyosarcoma Presenting as an Adrenal Incidentaloma in a Subject on Warfarin. Case Rep Endocrinol 2015; 2015: 830814, DOI: 10.1155/2015/830814.
30.
Ritter E, Itach T, Paran D, et al. Cardiac Sarcoma Mimicking Libman-Sacks Endocarditis in a Patient with Systemic Lupus Erythematosus (SLE): A Case Report and Literature Review. J Clin Med 2024; 13: 4345, DOI: 10.3390/jcm13154345.
31.
Papazisis KT, Boura P, Foukas P, Dimitriadis KA. Corticosteroid-induced Kaposi’s sarcoma in a patient with systemic lupus erythematosus. Archive of Oncology 2000; 8: 181–182.
32.
Malinowski M, Wołyniec W. Three cases of sarcoma in patients with nephropathies related to connective tissue diseases. Renal Disease and Transplantation Forum 2025; 18: 25–29, DOI: 10.5603/rdatf.103842.
33.
Greenfield DI, Trinh P, Fulenwider A, Barth WF. Kaposi’s sarcoma in a patient with SLE. J Rheumatol 1986; 13: 637–640.
34.
Tamura G, Kaizuka H, Iwasaki T, et al. A case report of angiosarcoma of the breast. Gan No Rinsho 1987; 33: 1085–1089 [Article in Japanese].
35.
Fyfe AI, Huckell VF, Burr LH, Stonier PM. Leiomyosarcoma of the left atrium: case report and review of the literature. Can J Cardiol 1991; 7: 193–196.
36.
Fagone S, Cavaleri A, Camuto M, et al. Hyperkeratotic Kaposi sarcoma with leg lymphoedema after prolonged corticosteroid therapy for SLE. Case report and review of the literature. Minerva Med 2001; 92: 177–202 [Article in Italian].
37.
Ashfaq A, Haller JE, Mossey R, et al. Recurrent membranous nephropathy and leiomyosarcoma in the renal allograft of a lupus patient. J Nephrol 2004; 17: 134–138.
38.
Kim IK, Cho HY, Chang KS, et al. Kaposi’s sarcoma of maxillary gingiva in systemic lupus erythematosus. Maxillofacial Plastic and Reconstructive Surgery 2009, 31: 343–348 [Article in Korean].
39.
Strauss SJ, Frezza AM, Abecassis N, et al. Bone sarcomas: ESMO-EURACAN-GENTURIS-ERN PaedCan Clinical Practice Guideline for diagnosis, treatment and follow-up. Ann Oncol 2021; 32: 1520–1536, DOI: 10.1016/j.annonc.2021.08.1995.
40.
von Mehren M, Kane JM, Agulnik M, et al. Soft Tissue Sarcoma, Version 2.2022, NCCN Clinical Practice Guidelines in Oncology. J Natl Compr Canc Netw 2022; 20: 815–833, DOI: 10.6004/jnccn.2022.0035.
41.
Silva ME, Dábague J, Avila Casado MC, et al. Does heart sarcoma mimick lupus erythematosus and vasculitis? Report of 2 cases. Arch Inst Cardiol Mex 1999; 69: 566–569 [Article in Spanish].
42.
Kopf. Sarcoma in Lupus erythematosus. Klin Med Osterr Z Wiss Prakt Med 1947; 2: 183 [Article in German].
43.
Winkler K. Sarcoma following lupus. Z Haut Geschlechtskr 1950; 8: 255–258 [Article in Undetermined language].
44.
Laskin WB, Silverman TA, Enzinger FM. Postradiation soft tissue sarcomas. An analysis of 53 cases. Cancer 1988; 62: 2330–2340, DOI: 10.1002/1097-0142(19881201)62:11<2330::aid-cncr2820621113>3.0.co;2-2.
45.
Ferrara G, Gualandi A. Epstein-Barr virus-related lymphoproliferative disorders of the skin. Dermatol Reports 2024; 16 (Suppl 2): 9916, DOI: 10.4081/dr.2024.9916.
46.
Kandeel M. Oncogenic Viruses-Encoded microRNAs and Their Role in the Progression of Cancer: Emerging Targets for Antiviral and Anticancer Therapies. Pharmaceuticals (Basel) 2023; 16: 485, DOI: 10.3390/ph16040485.
47.
De Francesco V, Errichetti E, Pegolo E, Stinco G. Atypical fibroxanthoma arising in a scar of discoid lupus erythematosus. J Cutan Med Surg 2014; 18: 353–255, DOI: 10.2310/7750.2013.13144.
48.
Nikam B, Shah S, Kale M, Jamale V. Reactive angioendotheliomatosis as a presenting cutaneous manifestation of Hughes syndrome. Lupus 2015; 24: 1557–1561, DOI: 10.1177/0961203315598245.
Copyright: © Narodowy Instytut Geriatrii, Reumatologii i Rehabilitacji w Warszawie. This is an Open Access journal, all articles are distributed under the terms of the Creative Commons Attribution-NonCommercial-ShareAlike 4.0 International (CC BY-NC-SA 4.0) License (
https://creativecommons.org/licenses/by-nc-sa/4.0/), allowing third parties to copy and redistribute the material in any medium or format and to remix, transform, and build upon the material, provided the original work is properly cited and states its license.